Travel Insurance Civil Liability - TRAVCEK
Skip to content Skip to sidebar Skip to footer

Travel Insurance Civil Liability

Travel Insurance Civil Liability. Quote this plan buy online find out more. Schools and universities often make it mandatory for your enrollment to protect.

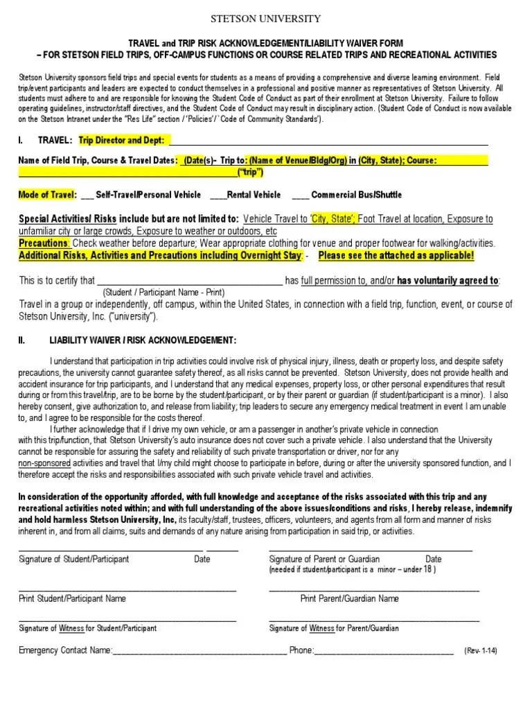
Travel and Trip Risk Acknowledgement Liability Waiver Form Insurance
Travel and Trip Risk Acknowledgement Liability Waiver Form Insurance from www.scribd.com

Civil liability (cl) insurance covers the obligation. Ad trusted review of 2022's best travel insurance. Civil liability insurance is one that is intended to cover damages that we could eventually lead to a third party, these involve the physical damage to persons;

Unlimited In Mutual Healthcare Providers.


Ad compare coverage, review travel protection plans with our cancel for any reason benefit! Incidents of civil unrest fall under several sections of your policy: Funeral expenses required for transportation.

Civil Liability Is A Concept That Lies In The Obligation We Have As People No Harm To Others.


Bodily injury and material damages. How to make a claim. Civil liability (cl) insurance covers the obligation.

Repatriation Of Other Family Members (In Case Of Death) Ticket (One Way Only) Return Of The Insured To The Country Of Expatriation After.


Civil liability insurance is a type of policy that is purchased to provide coverage for provisions under civil law. Civil insurance liability can be requested by your university or for your visa application, here is the best offer we found: Civil liability insurance with heyme.

Personal Liability In Travel Insurance Personal Liability Is Cover For The Compensation For The Damages To Property Or Death Or Bodily Injury And Legal Expenses To Defend Any Legal Liability.


Travelers knows fidelity and crime coverage. Ad faye travel & baggage care in 60 seconds. 24 covered reasons for trip cancellation & cancel for any reason coverage for your trip.

To Protect The Assets You’ve Spent A Lifetime Building, You Need Umbrella Insurance.


Civil liability insurance policies are available in countries such as england and are purchased by various clubs, sports teams and professionals. If you have any questions, please do not hesitate to. The definiton of personal accident insurance, or personal liability cover, is a type of cover that financially protects you if you are injured, disabled or killed due to an accident.

Post a Comment for "Travel Insurance Civil Liability"